起源
e,作為數學常數,是自然對數函式的底數。有時稱它為歐拉數(Euler number),以瑞士數學家歐拉命名;也有個較鮮見的名字納皮爾常數,以紀念蘇格蘭數學家約翰·納皮爾 (John Napier)引進對數。它就像圓周率π和虛數單位i,e是數學中最重要的常數之一。
e[數學的超越數] 它的其中一個定義是,其數值約為(小數點後100位):“e ≈ 2.71828 18284 59045 23536 02874 71352 66249 77572 47093 69995 95749 66967 62772 40766 30353 54759 45713 82178 52516 64274”。
第一次提到常數e,是約翰·納皮爾(John Napier)於1618年出版的對數著作附錄中的一張表。但它沒有記錄這常數,只有由它為底計算出的一張自然對數列表,通常認為是由威廉·奧特雷德(William Oughtred)製作。第一次把e看為常數的是雅各·伯努利(Jacob Bernoulli)。
已知的第一次用到常數e,是萊布尼茨於1690年和1691年給惠更斯的通信,以b表示。1727年歐拉開始用e來表示這常數;而e第一次在出版物用到,是1736年歐拉的《力學》(Mechanica)。雖然以後也有研究者用字母c表示,但e較常用,終於成為標準。
用e表示的確實原因不明,但可能因為e是“指數”(exponential)一字的首字母。另一看法則稱a,b,c和d有其他經常用途,而e是第一個可用字母。不過,歐拉選這個字母的原因,不太可能是因為這是他自己名字Euler的首字母,因為他是個很謙虛的人,總是恰當地肯定他人的工作。
很多增長或衰減過程都可以用指數函式模擬。指數函式的重要方面在於它是唯一的函式與其導數相等(乘以常數)。e是無理數和超越數(見林德曼—魏爾施特拉斯定理(Lindemann-Weierstrass))。這是第一個獲證的超越數,而非故意構造的(比較劉維爾數);由夏爾·埃爾米特(Charles Hermite)於1873年證明。
e[數學的超越數] 其實,如果設完全圖內的路徑總數為W,哈密頓路總數為h,則W/h=e,此規律更證明了e並非故意構造的,e甚至也可以稱呼為是一個 完全率。與 圓周率有一定的相類似性,好像極限完全圖就是圖論中的圓形,哈密頓路就是直徑似的,自然常數的含義是極限完全圖裡的路徑總數和哈密頓路總數之比。
公式
超越數主要只有自然常數(e)和圓周率(π)。自然常數的知名度比圓周率低很多,原因是圓周率更容易在實際生活中遇到,而自然常數在日常生活中不常用。
e[數學的超越數] 融合e,π的最完美的歐拉公式,也是超越數e的數學價值的最高體現。
自然常數一般為公式中乘方的底數和對數的底。為什麼會這樣,主要取決於它的來歷。
e[數學的超越數]
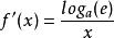
e[數學的超越數] 自然常數的來法比圓周率簡單多了。它就是當 時函式 值的極限。
e[數學的超越數] 即:。
e[數學的超越數]
e[數學的超越數] 同時,它也等於。注意,。
e[數學的超越數]
e[數學的超越數]
e[數學的超越數]
e[數學的超越數] 自然常數經常在公式中做對數的底。比如,對指數函式和對數函式求導時,就要使用自然常數。函式的導數為。函式的導數為。
e[數學的超越數] 自然常數也和質數分布有關。有某個自然數a,則比它小的質數就大約有個。在a較小時,結果不太正確。但是隨著a的增大,這個定理會越來越精確。這個定理叫素數定理,由高斯發現。
此外自然常數還有別的用處。比如解題。請把100分成若干份,使每份的乘積儘可能大。把這個題意分析一下,就是求兩個數a和b,使ab=100,求a的b次方的最大值。(說明,a可以為任意有理數,b必須為整數。)此時,便要用到自然常數。這需要使a儘量接近e。
則b應為100/e≈36.788份,但由於份數要為整數,所以取近似值37份。這樣,每份為100/37,所以a的b次方的最大值約為“94740617+167818+32.652”。
是極為常用的超越數之一,它通常用作自然對數的底數。
因為e=2.7182818284... ,極為接近循環小數2.71828(1828循環),那就把循環小數化為分數271801/99990,所以可以用271801/99990表示為e最接近的有理數約率,精確度高達99.9999999(7個9)% 。
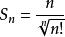
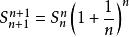
收斂性證明
由均值不等式,有
e[數學的超越數]
e[數學的超越數]
e[數學的超越數]
e[數學的超越數] 即序列 單調上升;另一方面,我們嘗試證明 。即要證 ,由均值不等式得
e[數學的超越數]
e[數學的超越數]
e[數學的超越數]
e[數學的超越數] 又明顯有 ,故 成立,所以 成立。
e[數學的超越數]
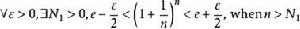
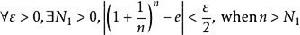
e[數學的超越數] 故 單調上升有上界,即 收斂。
另外形式
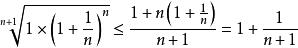
e[數學的超越數] 證法1
e[數學的超越數] 令 ,易知
e[數學的超越數]
e[數學的超越數]
e[數學的超越數] 則已知 收斂於 ,即
e[數學的超越數] 即
e[數學的超越數]
e[數學的超越數]
e[數學的超越數] 所以, ,不妨設 ,則有
e[數學的超越數]
e[數學的超越數] 即 ,有
e[數學的超越數]
e[數學的超越數]
e[數學的超越數]
e[數學的超越數] 又易知對固定的 和 ,有
e[數學的超越數]
e[數學的超越數]
e[數學的超越數]
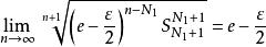
e[數學的超越數] 所以,對此給定 , ,當 時,有
e[數學的超越數]
e[數學的超越數]
e[數學的超越數] 即 ,當 時,有 ,即
e[數學的超越數] 即
e[數學的超越數] 證畢.
e[數學的超越數]
e[數學的超越數] 註:由該證法可以看出,對任意正數序列 ,若存在一個收斂數列 ,使得
e[數學的超越數]
e[數學的超越數]
e[數學的超越數] 則 收斂,且極限為 .
證法2
e[數學的超越數] 欲證 ,即要證
e[數學的超越數] 另一方面,又有
e[數學的超越數] 則有
e[數學的超越數]
e[數學的超越數] 故有
證畢.
e對於自然數的特殊意義
e[數學的超越數] 所有大於2的2n形式的偶數存在以為中心的共軛奇數組,每一組的和均為2n,而且至少存在一組是共軛素數
e[數學的超越數]
e[數學的超越數] 可以說是素數的中心軸,只是奇數的中心軸。
計算方法
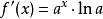
對指數函式求導
e[數學的超越數]
e[數學的超越數]
e[數學的超越數]
e[數學的超越數] 註:其實任何滿足微分方程 的解都必為形式 ,其中 為任意常數
泰勒級數展開
e[數學的超越數]
e[數學的超越數] 由上可知,函式 存在任意階的導數。將其在點 處進行泰勒展開,有
e[數學的超越數]
e[數學的超越數] 取 Peano形式的餘項 (參見泰勒公式詞條)
e[數學的超越數] 令上式 ,有
e[數學的超越數] 故有
e[數學的超越數] 即得
e[數學的超越數]
e[數學的超越數] 由此就可根據上式求解出 的具體數值
限制精度
e[數學的超越數]
e[數學的超越數] 但是在套用中我們需要的是 的具有某位精度的數值,比如說要求 的小數點前2000位的準確數值。此時Peano餘項不夠用了。我們換一個餘項,例如—— Lagrange餘項:
e[數學的超越數]
e[數學的超越數]
e[數學的超越數]
e[數學的超越數] 其中 。將 與 代入,得
e[數學的超越數] 所以
e[數學的超越數]
e[數學的超越數]
e[數學的超越數]
e[數學的超越數] 故只要令 ,求解出滿足這個不等式的任意一個 ,然後按照這個 計算
e[數學的超越數]
e[數學的超越數] 便得 的小數點後2000位的準確數值
數值
自然常數e無理性超越性的證明 小數點後1000位
Program : PiFast version 4.3 (fix 1), by Xavier Gourdon
Computation of 30000 digits of E
Method used : series SUM 1/n!
Size of FFT : 4 K
Physical memory used : ~ 780 K
Disk memory used : ~ 0.00 Meg
------------------------------------------------------------
Computation run information :
Start : Thu Aug 07 15:23:54 2014
End : Thu Aug 07 15:23:54 2014
Duration : 0.05 seconds
============================================================
Total computation time : 0.05 seconds (~ 0.00 hours)
============================================================
E with 1000 digits :
E ≈ 2.7182818284 5904523536 0287471352 6624977572 4709369995 : 50
9574966967 6277240766 3035354759 4571382178 5251664274 : 100
2746639193 2003059921 8174135966 2904357290 0334295260 : 150
5956307381 3232862794 3490763233 8298807531 9525101901 : 200
1573834187 9307021540 8914993488 4167509244 7614606680 : 250
8226480016 8477411853 7423454424 3710753907 7744992069 : 300
5517027618 3860626133 1384583000 7520449338 2656029760 : 350
6737113200 7093287091 2744374704 7230696977 2093101416 : 400
9283681902 5515108657 4637721112 5238978442 5056953696 : 450
7707854499 6996794686 4454905987 9316368892 3009879312 : 500
7736178215 4249992295 7635148220 9269895193 6680331825 : 550
2886939849 6465105820 9392398294 8879332036 2509443117 : 600
3012381970 6841614039 7019837679 3206832823 7646480429 : 650
5311802328 7825098194 5581530175 6717361332 0698112509 : 700
9618188159 3041690351 5988885193 4580727386 6738589422 : 750
8792284998 9208680582 5749279610 4841984443 6346324496 : 800
8487560233 6248270419 7862320900 2160990235 3043699418 : 850
4914631409 3431738143 6405462531 5209618369 0888707016 : 900
7683964243 7814059271 4563549061 3031072085 1038375051 : 950
0115747704 1718986106 8739696552 1267154688 9570340354 : 1000
![e[數學的超越數] e[數學的超越數]](/img/7/159/nBnauM3XygDOxMDO5UjNxMDN0UTMyITNykTO0EDMwAjMwUzL1YzLygzLt92YucmbvRWdo5Cd0FmLxE2LvoDc0RHa.jpg)
